quarta-feira, janeiro 31, 2007

Exames de Recurso

Exames do dia 13/FEV:
  • Contabilidade: 14h
  • Dto do Trabalho (do 4º ano): 17h

segunda-feira, janeiro 29, 2007

Notas de Dto do Trabalho - 5º ano

Já estão afixadas no placard de curso.

Debate

Debate acerca da despenalização da interrupção voluntária da gravidez

  • Com a presença dos juristas Dr. Carlos Amorim e Dr. Lemos Soares;
  • Decorrerá no dia 1 de Fevereiro pelas 17h30 no auditório B2 do complexo pedagógico 2.

Filosofia do Direito

A questão dos trabalhos será discutida no segundo semestre.

terça-feira, janeiro 23, 2007

Simpósio de Direito Processual Penal

(clica na imagem para ampliar)

domingo, janeiro 21, 2007

Viagem de Finalistas

  • Dia 29/Jan, às 15h, no sr. Mota.

É a ultima reunião de turma para a viagem. A Túnisia será um destino discutido uma vez que poderá ficar por volta dos 500 EUR, e assim mais colegas poderão participar.

Aparecam, pois a viagem está quase a chegar...

quinta-feira, janeiro 18, 2007

Filosofia do Direito

Já há um link na página da professora dedicado à disciplina de Filosofia do Direito.

Consulta aqui.

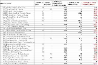
segunda-feira, janeiro 15, 2007

Notas de Direito da Função Pública

(clica na imagem para ampliar)

quinta-feira, janeiro 11, 2007

Direito do Urbanismo (URGENTE)

Alterada a hora do exame e sala:
  • Dia 12/01, pelas 14h00m, na sala 2207.

Filosofia do Direito

Aula de dúvidas fica marcada para 24 de Janeiro, às 17h.

É importante estar atento à página da Prof. Clara Calheiros (http://arsiuris.tripod.com) pois nos próximos dias serão incluídos alguns elementos para a Filosofia do Direito.

Aula de dúvidas de D.I.P.

Dia 19/01, às 14h, no sr. Mota.

Notas de Contratos Comerciais

Já estão afixadas!

terça-feira, janeiro 09, 2007

Contabilidade - aulas de dúvidas

Aulas de dúvidas, antes dos exames:

- Dia 15/Jan, às 9h30m, no sr. Mota
- Dia 17/Jan, às 9h30m, no sr. Mota

domingo, janeiro 07, 2007

Aula de dúvidas de Direito do Trabalho (alterações)

Aula de dúvidas:
  • Dia 8/Jan: às 16h00m
  • Dia 10/Jan: às 16h30m

Ambas no CP3, sala do costume.

sábado, janeiro 06, 2007

Sessão de estudo da Associação Jurídica de Braga

Sessão de estudo a realizar no próximo dia 15 de Janeiro, pelas 21h30m, no auditório da AJB, subordinada ao tema “O Concurso de Credores no Processo deInsolvência” que conta com a participação do Dr. Salvador Pereira Nunes daCosta, Juiz Conselheiro no Supremo Tribunal de Justiça e Docente do CEJ.

segunda-feira, janeiro 01, 2007

Atendimentos para os exames

Direito da Função Pública:contacto por e-mail para ambos os docentes;

Dirieto do Urbanismo: a professora Flávia estará pela Universidade no dia 8 de Janeiro e atenderá os alunos depois do exame de Função Pública;

Contabilidade:aula de dúvidas no dia 15/01 e 17/01 às 9h30m no sr.mota.

Quanto a DIP e Filosofia do Direito ainda a divulgar(ficar atento).

Em relacão a outras cadeiras é favor de contactar a Carla Machado(subdelegada) e Adiana Amorim (representante da vertente empresarial).

Calendário de Exames definitivo

Calendário de Exames definitivo: